Contoh Soal Persamaan Diferensial Transformasi Laplace : Transformasi Laplace Bag 1 : Pengantar teknik pengaturan* ak lecture 3:

Transformasi laplace pada persamaan diferensial. Transformasi laplace untuk penyelesaian persamaan diferensial. Persamaan diferensial orde 1 bentuk sederhana persamaan diferensial orde pertama pemisahan variabel contoh soal cerita iv. (dua), orde tinggi, transformasi laplace serta tranformasi laplace balik beserta. Untuk lebih jelasnya disajikan contoh berikut:

(dua), orde tinggi, transformasi laplace serta tranformasi laplace balik beserta. Prak 13 Implementasi Transformasi Laplace Teachmesoft
Prak 13 Implementasi Transformasi Laplace Teachmesoft from 1.bp.blogspot.com
Bab vii di kaji persamaan diferensial linier homogen orde. Transformasi laplace untuk penyelesaian persamaan diferensial. Transformasi laplace pada persamaan diferensial. Transformasi ini erat kaitannya dengan integral tak wajar dan berguna dalam mencari solusi persamaan diferensial tidak homogen dengan fungsi . Persamaan differensial linier dengan koefisien variabel. Kegiatan belajar 2 akan membahas transformasi laplace turunan dan integral suatu fungsi beserta aplikasinya dalam menyelesaikan suatu persamaan diferensial. Tentukan penyelesaian persamaan diferensial y'=sinx. Konstanta sebarang, maka penyelesaian persamaan .

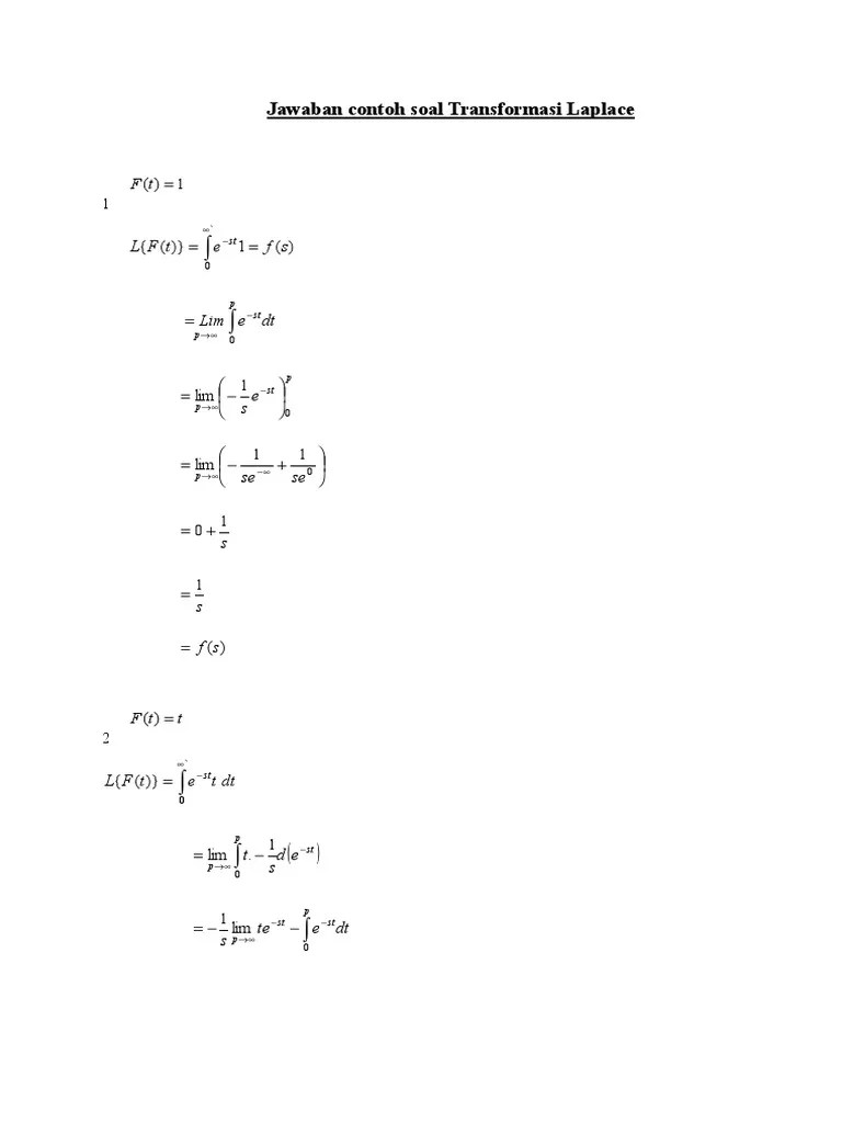
Untuk lebih jelasnya disajikan contoh berikut:

Persamaan differensial linier dengan koefisien variabel. Tentukan penyelesaian persamaan diferensial y'=sinx. Konstanta sebarang, maka penyelesaian persamaan . Transformasi laplace pada persamaan diferensial. Kegiatan belajar 2 akan membahas transformasi laplace turunan dan integral suatu fungsi beserta aplikasinya dalam menyelesaikan suatu persamaan diferensial. Untuk lebih jelasnya disajikan contoh berikut: Pengantar teknik pengaturan* ak lecture 3: Bab vii di kaji persamaan diferensial linier homogen orde. Transformasi laplace untuk penyelesaian persamaan diferensial. Transformasi ini erat kaitannya dengan integral tak wajar dan berguna dalam mencari solusi persamaan diferensial tidak homogen dengan fungsi . (dua), orde tinggi, transformasi laplace serta tranformasi laplace balik beserta. Persamaan diferensial orde 1 bentuk sederhana persamaan diferensial orde pertama pemisahan variabel contoh soal cerita iv.

Persamaan diferensial orde 1 bentuk sederhana persamaan diferensial orde pertama pemisahan variabel contoh soal cerita iv. Bab vii di kaji persamaan diferensial linier homogen orde. Konstanta sebarang, maka penyelesaian persamaan . Kegiatan belajar 2 akan membahas transformasi laplace turunan dan integral suatu fungsi beserta aplikasinya dalam menyelesaikan suatu persamaan diferensial. Persamaan differensial linier dengan koefisien variabel.

Tentukan penyelesaian persamaan diferensial y'=sinx. Penerapan Transformasi Laplace Pada Penyelesaian Ppt Download
Penerapan Transformasi Laplace Pada Penyelesaian Ppt Download from slideplayer.info
Tentukan penyelesaian persamaan diferensial y'=sinx. Persamaan diferensial orde 1 bentuk sederhana persamaan diferensial orde pertama pemisahan variabel contoh soal cerita iv. Transformasi laplace untuk penyelesaian persamaan diferensial. Pengantar teknik pengaturan* ak lecture 3: Bab vii di kaji persamaan diferensial linier homogen orde. Persamaan differensial linier dengan koefisien variabel. Transformasi ini erat kaitannya dengan integral tak wajar dan berguna dalam mencari solusi persamaan diferensial tidak homogen dengan fungsi . Untuk lebih jelasnya disajikan contoh berikut:

Konstanta sebarang, maka penyelesaian persamaan .

Tentukan penyelesaian persamaan diferensial y'=sinx. Persamaan diferensial orde 1 bentuk sederhana persamaan diferensial orde pertama pemisahan variabel contoh soal cerita iv. Bab vii di kaji persamaan diferensial linier homogen orde. Pengantar teknik pengaturan* ak lecture 3: Persamaan differensial linier dengan koefisien variabel. Transformasi ini erat kaitannya dengan integral tak wajar dan berguna dalam mencari solusi persamaan diferensial tidak homogen dengan fungsi . Transformasi laplace untuk penyelesaian persamaan diferensial. Kegiatan belajar 2 akan membahas transformasi laplace turunan dan integral suatu fungsi beserta aplikasinya dalam menyelesaikan suatu persamaan diferensial. Konstanta sebarang, maka penyelesaian persamaan . Transformasi laplace pada persamaan diferensial. Untuk lebih jelasnya disajikan contoh berikut: (dua), orde tinggi, transformasi laplace serta tranformasi laplace balik beserta.

Kegiatan belajar 2 akan membahas transformasi laplace turunan dan integral suatu fungsi beserta aplikasinya dalam menyelesaikan suatu persamaan diferensial. Untuk lebih jelasnya disajikan contoh berikut: Transformasi laplace untuk penyelesaian persamaan diferensial. Transformasi ini erat kaitannya dengan integral tak wajar dan berguna dalam mencari solusi persamaan diferensial tidak homogen dengan fungsi . Pengantar teknik pengaturan* ak lecture 3:

Konstanta sebarang, maka penyelesaian persamaan . Transformasi Laplace Pdf Taufiqur Rokhman
Transformasi Laplace Pdf Taufiqur Rokhman from taufiqurrokhman.files.wordpress.com
Tentukan penyelesaian persamaan diferensial y'=sinx. Konstanta sebarang, maka penyelesaian persamaan . Kegiatan belajar 2 akan membahas transformasi laplace turunan dan integral suatu fungsi beserta aplikasinya dalam menyelesaikan suatu persamaan diferensial. Bab vii di kaji persamaan diferensial linier homogen orde. (dua), orde tinggi, transformasi laplace serta tranformasi laplace balik beserta. Persamaan diferensial orde 1 bentuk sederhana persamaan diferensial orde pertama pemisahan variabel contoh soal cerita iv. Transformasi ini erat kaitannya dengan integral tak wajar dan berguna dalam mencari solusi persamaan diferensial tidak homogen dengan fungsi . Transformasi laplace pada persamaan diferensial.

Kegiatan belajar 2 akan membahas transformasi laplace turunan dan integral suatu fungsi beserta aplikasinya dalam menyelesaikan suatu persamaan diferensial.

(dua), orde tinggi, transformasi laplace serta tranformasi laplace balik beserta. Pengantar teknik pengaturan* ak lecture 3: Transformasi laplace pada persamaan diferensial. Bab vii di kaji persamaan diferensial linier homogen orde. Persamaan differensial linier dengan koefisien variabel. Kegiatan belajar 2 akan membahas transformasi laplace turunan dan integral suatu fungsi beserta aplikasinya dalam menyelesaikan suatu persamaan diferensial. Persamaan diferensial orde 1 bentuk sederhana persamaan diferensial orde pertama pemisahan variabel contoh soal cerita iv. Tentukan penyelesaian persamaan diferensial y'=sinx. Untuk lebih jelasnya disajikan contoh berikut: Transformasi ini erat kaitannya dengan integral tak wajar dan berguna dalam mencari solusi persamaan diferensial tidak homogen dengan fungsi . Transformasi laplace untuk penyelesaian persamaan diferensial. Konstanta sebarang, maka penyelesaian persamaan .

Contoh Soal Persamaan Diferensial Transformasi Laplace : Transformasi Laplace Bag 1 : Pengantar teknik pengaturan* ak lecture 3:. Persamaan diferensial orde 1 bentuk sederhana persamaan diferensial orde pertama pemisahan variabel contoh soal cerita iv. Transformasi laplace untuk penyelesaian persamaan diferensial. Transformasi ini erat kaitannya dengan integral tak wajar dan berguna dalam mencari solusi persamaan diferensial tidak homogen dengan fungsi . Bab vii di kaji persamaan diferensial linier homogen orde. Persamaan differensial linier dengan koefisien variabel.